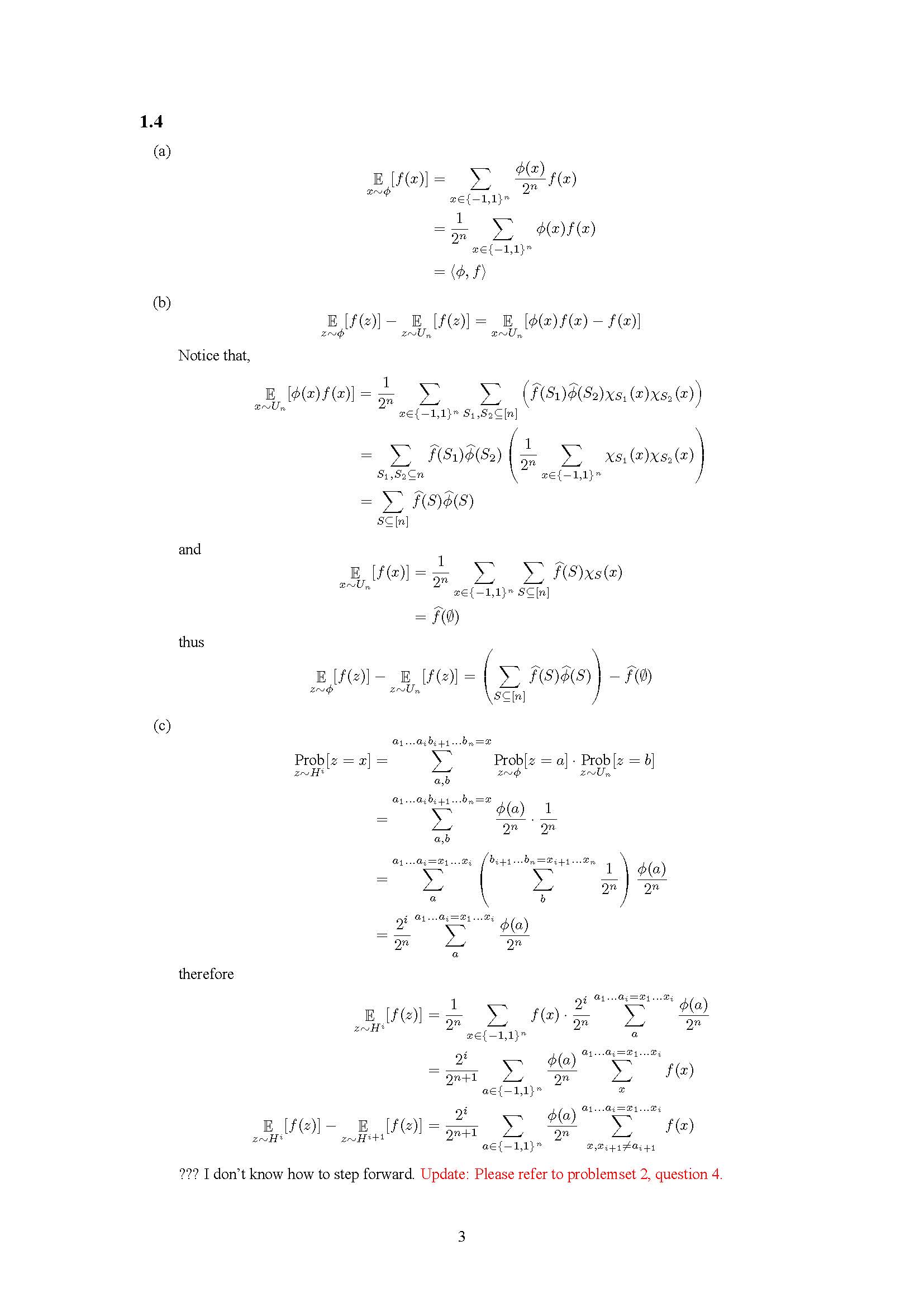
Analysis of Boolean Function (Course Exercise Solutions)
Posted on
2023-11-08
Symbols count in article
30
words
Reading time
1 mins.
SuBonan
Home
- 数学杂记
Avishay Tal’s course
自己做了下,感觉很有趣。
Previous Post
- 量子计算
Quantum Random Walk
Next Post
- 数学杂记
Something About Linear Logic
关于复合函数极限的运算法则
数学分析(上)
离散数学-集合部分
离散数学-代数系统
离散数学-图论部分
线性代数翻书
线性代数及其应用
离散数学-数理逻辑
关于史瓦西度规和拉格朗日方程的推导
数学分析(下)
关于循环的证明和完全格上单调函数的不动点定理
算术表达式和类型范畴之间的一点点关系
概率论与数理统计
组合数学杂记
马尔科夫链-蒙特卡洛方法及其一个例子Metropolis-Hastings抽样
Numerical Analysis
Lambda Cube
Category theory
Theory of computation
The relation between DFA and Functors
计算理论错题补全计划
代数拓扑
数学建模
TSP问题中消除子圈的MTZ约束
Homotopy Type Theory
运筹学
Fibration
Cryptography
群表示论和特征标
Time Hierarchy Theorem
Complexity Theory中一些基础定理的证明
复杂性中的一些结论(无证明)
Ladner's Theorem
Mahaney's Theorem
Savitch's Theorem
Basic LWE Problem
Immerman-Szelepcsényi Theorem
Interactive Proof System
Galois Theory
Sketching, streaming and sub-linear space algorithms
Sublinear Algorithms
Johnson-Lindenstrauss Lemma
Sketching Algorithms for Big Data
Logic categories
关于Monad
Galois Connection & Galois Embedding
Category Theory (Course Exercise Solutions)
Yoneda Lemma 米田引理
傅里叶变换 (绕过群表示论,单位根)
Analysis of Boolean Function (Course Exercise Solutions)
Something About Linear Logic
Differentiable Manifolds 微分流形
紧致辛群和四元代数
Group Action, Orbits and Stabilizer
Sylow Theorem
应用近世代数 课堂记录
Skew Sort
一点关于Set Cover的近似算法
对称群的表示
SU(2),SO(3)的表示
一点关于Fourier transformation的东西
一点关于Haar Measure
Dihedral Group的表示
C*-Algebra and Hilbert Space Operators
SuBonan
やがて、平凡な人になる
132
posts
10
categories
Home
About
Posts
Archives
Categories